GHR513 型 杆用 L 型超高压组合密封
一、标准材料
L 型密封环:填充 PTFE;
O 型圈:丁腈橡胶、三元乙丙或氟橡胶。
二、概述
GHR513 型活塞杆用 L 型超高压组合密封由一个填充聚四氟乙烯(PTFE)材料的 L 型密封 环和一个国标 O 型橡胶圈组合而成。适用于活塞杆超高压往复运动密封及静密封,起单向作用。 推荐用于超高压液压元件中,如水压试验机、增压缸、超高压泵站、液压螺母等。
三、特点
*良好的密封性能
*较小的摩擦阻力,无爬行现象
*可多组串联使用
*使用寿命长
*耐超高压
四、工况条件

五、订货示例
例:活塞杆直径 d=Φ80mm
订货型号 GHR513--80

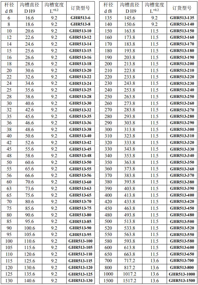
六、沟槽尺寸

注:杆径 d≤ф100mm,建议采用分体式沟槽。
七、规格表

其他尺寸和直径 1500 毫米之内的所有中间尺寸均能提供(包括英制尺寸)。